相位调制器的半波电压是什么意思?核心参数与全维度解析
相位调制器作为实现光信号相位调控的核心器件,在光通信与光子技术领域,其性能指标直接影响系统效率与信号质量。其中,半波电压(Half-Wave Voltage,Vπ)作为衡量调制效率的关键参数,不仅是器件设计的核心指标,更是应用场景选择的重要依据。本文将从半波电压的定义出发,深入解析其物理意义、工作原理、特性参数、应用领域及封装技术,并结合四川梓冠光电科技有限公司的军工级产品,揭示这一“隐形引擎”如何重塑光子技术的边界。
一、半波电压的物理定义:相位调制的“效率标尺”
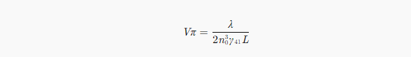
半波电压是指使光波相位变化π(即半个波长光程差)所需施加的外加电压。其数学表达式为:

其中,λ为光波长,n₀为晶体寻常折射率,γ₄₁为电光系数,L为晶体长度。这一公式揭示了半波电压与材料特性(电光系数、折射率)、几何尺寸(晶体长度)及光波参数(波长)的强相关性。
物理意义:半波电压直接反映了调制器将电信号转换为光相位变化的效率。Vπ越低,意味着相同电压下可实现更大的相位调制深度,从而降低驱动功率、提升调制带宽,是衡量调制器性能的核心指标之一。

二、相位调制器的工作原理:
相位调制器的核心基于线性电光效应(Pockels Effect):当光通过具有电光特性的晶体(如铌酸锂LiNbO₃)时,外加电场会改变晶体的折射率,导致光波相位随电压线性变化。其调制过程可通过以下公式描述:

其中,Δφ为相位变化量,V为施加电压。当V=Vπ时,Δφ=π,实现半波调制。
关键特性:
1、线性调制:相位变化与电压呈严格线性关系,避免非线性效应导致的信号畸变,适用于高精度量子通信与微波光子链路。
2、无偏置设计:无需直流偏压,消除直流漂移问题,提升系统稳定性。
3、高光功率承受能力:可支持更高功率激光输入,是马赫-曾德尔调制器(MZM)的两倍。
三、相位调制器的核心参数与特性:
相位调制器的性能指标直接影响其应用场景的适配性,主要参数包括:
| 参数 | 物理意义 | 典型值(铌酸锂调制器) |
| 半波电压Vπ | 调制效率标尺 | 3-10V(取决于晶体尺寸) |
| 调制带宽 | 有效工作频率范围 | >40GHz(薄膜铌酸锂工艺) |
| 插入损耗 | 光通过调制器后的功率损耗 | <4dB(优化后可达2.5dB) |
| 温度稳定性 | 环境温度变化对相位的影响 | <0.01rad/℃ |
| 线性度 | 相位变化与电压的线性相关程度 | 超宽线性调制深度(量子通信级) |
技术突破:薄膜铌酸锂工艺通过亚微米级薄膜制备,将电极间距缩小至传统器件的1/10,显著提升调制效率,同时降低驱动功率与封装难度,成为6G太赫兹通信与光子计算的核心器件。
四、相位调制器的应用领域:
相位调制器的独特优势使其在多元领域实现关键应用:
1、光通信系统:
高速光纤网络:支持10G/40G/100G速率信号调制,提升传输效率。
5G基站:将毫米波信号调制到光载波上,通过光纤传输至远端天线,解决高频信号损耗问题(实验表明,17.64GHz信号可传输25km单模光纤,损耗低于3dB)。
2、微波光子学:
航天航空:实现微波信号的光域处理,突破电学方法带宽限制(如12-20GHz微波信号瞬时测量,分辨率±0.5GHz)。
雷达系统:支持100ps级脉冲压缩,实现厘米级距离分辨率。
3、量子信息处理:
量子密钥分发(QKD):通过快速切换0、π/2、π、3π/2四种相位,实现BB84协议四态编码,确保通信安全性。
光子纠缠源:调控光子相位,生成高保真度纠缠态。
4、光子辅助传感:
光纤陀螺仪:通过正交相位偏移抵消萨格纳克效应,提升角速度测量精度至0.001°/h。
激光雷达:支持高精度测距与三维成像。
五、相位调制器的封装技术:
相位调制器的封装需兼顾高频信号传输、热管理与机械稳定性,其核心设计包括:
1、行波电极结构:
通过相位倒相设计(如三节电极结构)同步微波与光波速度,消除相位差异,实现宽带工作(>40GHz)。
典型封装形式:SMA/K或V同轴接头输入,共面波导传输线连接芯片,减少模场失配。
2、热管理:
内部集成热敏电阻与制冷器,实现恒温控制(如EML器件通过背光探测器反馈调节DFB激光器功率)。
密封设计:采用坚固外壳与光纤固定支撑部件,隔离环境干扰。
3、终端阻抗匹配:
在信号加载电路上并联匹配电阻(如25Ω或50Ω),减少传输信号反射,确保频率响应平坦。
六、四川梓冠光电:军工级品质与全场景解决方案
作为国内领先的光电行业高新技术企业,四川梓冠光电科技有限公司提供多款高性能光纤耦合声光调制器,其产品通过GJB9001C-2017标准军标认证,拥有18项专利,核心优势包括:
优势:低插入损耗(<3dB)、高消光比(>50dB)、紧凑型封装(60×25×12.5mm),支持最大1米PM1550光纤。
应用:激光脉冲拾取、Q开关、生物医学成像。
优势:高频响应(100MHz)、低驱动功率(<3W)、高光功率处理(0.5W平均功率,0.5kW峰值功率)。
应用:微波光子链路、光纤传感、激光雷达。
军工级品质:梓冠产品采用全密封设计,通过极端环境测试(如-40℃至85℃温循),确保航天航空与工业级应用的长期稳定性。
结语:
随着薄膜铌酸锂工艺的成熟与集成化设计的推进,相位调制器的半波电压将持续降低,调制效率与带宽将突破现有极限。四川梓冠光电凭借军工级品质与全场景解决方案,正为5G/6G通信、量子计算与高精度传感等领域提供核心器件支撑,引领光子技术迈向“相位操控”的新纪元。