光纤滤波器:一文带你了解是什么?从工作原理、特点、应用领域、分类、作用到与光纤连接器的区别深度解析
光纤滤波器作为光网络中的核心器件,在5G基站密集部署、数据中心流量爆炸式增长的今天,如同一位精准的“波长精算师”,在1290-1570nm的波长范围内,以亚纳米级的精度筛选光信号,支撑起全球90%以上的互联网流量传输。四川梓冠光电将从原理、分类到应用,全面解析这一光通信领域的“隐形冠军”。

一、光纤滤波器是什么?
光纤滤波器是一种基于光纤结构的波长选择器件,其核心功能是从混合光信号中分离出特定波长,或抑制不需要的波长成分。与传统的电子滤波器不同,它直接在光域完成信号处理,具有低损耗、高带宽、抗电磁干扰等优势。
典型结构:
1、法布里-珀罗(F-P)型:由两端镀高反膜的光纤段构成,通过调节腔长实现波长选择。

2、光纤布拉格光栅(FBG)型:在光纤纤芯中写入周期性折射率调制,形成波长选择性反射。

二、光纤滤波器的工作原理:干涉与衍射的精密舞蹈
光纤滤波器的工作原理主要基于两大光学效应:
1、干涉型滤波原理
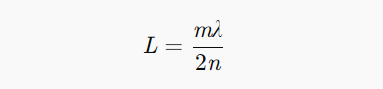
以F-P滤波器为例,光波在光纤腔内多次反射形成多光束干涉。当腔长L满足公式:

(其中m为整数,λ为波长,n为纤芯折射率)时,特定波长的光因同相叠加而增强,其余波长被抑制。通过压电陶瓷(PZT)调节腔长,可实现波长调谐,调谐范围(FSR)由公式决定:

(c为光速)。例如,当L=10mm时,FSR≈10GHz;而采用双光纤端面耦合结构,可将FSR扩展至10,000GHz。
2、衍射型滤波原理
光纤布拉格光栅通过周期性折射率调制(周期Λ)实现波长选择。当满足布拉格条件:

(neff为有效折射率)时,特定波长的光被反射,其余波长透射。通过改变光栅周期或折射率调制深度,可调整反射带宽(Δλ)和反射率(R),典型参数范围为:Δλ=1-10nm,R=5%-95%。
三、光纤滤波器的核心特点:精度与灵活性的完美平衡
光纤滤波器凭借以下特性成为光通信系统的关键组件:
1、低插入损耗(IL):全光纤结构使典型IL<0.5dB,远低于薄膜滤波器的1-2dB。
2、高波长精度:FBG型滤波器波长精度可达±0.1nm,满足DWDM系统信道间隔≤0.8nm的要求。
3、温度稳定性:通过温度补偿设计,可将温度漂移系数控制在≤2ppm/℃(即2×10⁻⁶/℃)。
4、可调谐性:F-P型滤波器通过PZT调谐速度可达10nm/ms,适用于动态波长管理。
5、紧凑集成:微结构光纤(MoF)滤波器可将器件尺寸缩小至毫米级,便于光子集成。
四、光纤滤波器的应用领域:从骨干网到生物传感的全面覆盖
光纤滤波器的应用已渗透至光通信、传感、医疗等多个领域:
1、密集波分复用(DWDM)系统
在400G/800G光模块中,光纤滤波器用于:
信道分离:将混合光信号按波长分配至不同接收端。
噪声抑制:滤除放大器自发辐射(ASE)噪声,提升信噪比(OSNR)。
增益均衡:在EDFA中补偿不同波长的增益差异,实现平坦化输出。
2、光纤传感系统
温度/应变传感:FBG滤波器的反射波长随温度(Δλ/ΔT≈10pm/℃)或应变(Δλ/Δε≈1.2pm/με)变化,用于桥梁、油气管道的健康监测。
化学传感:通过在光栅表面涂覆敏感材料,检测气体浓度(如甲烷、氨气)。
3、光纤激光器
波长选择:在可调谐激光器中,FBG滤波器锁定输出波长,线宽可压缩至<1kHz。
模式控制:利用高双折射光纤滤波器抑制高阶模,实现单模输出。
4、生物医疗成像
光相干层析(OCT):宽带光纤滤波器提供低相干光源,实现微米级分辨率的活体组织成像。
荧光光谱分析:窄带滤波器分离激发光与荧光信号,提升检测灵敏度。
五、光纤滤波器的产品分类:从固定到智能的演进路径
根据工作原理和应用场景,光纤滤波器可分为以下类型:
1、按滤波原理分类
①干涉型:
F-P滤波器:高精度、可调谐,但自由谱域(FSR)较窄。
马赫-曾德(M-Z)干涉仪:适用于宽带滤波,但插入损耗较高。
②衍射型:
FBG滤波器:窄带、高反射率,广泛用于DWDM和传感。
长周期光栅(LPG)滤波器:透射式带阻滤波,适用于EDFA增益平坦。
③微结构型:
光子晶体光纤(PCF)滤波器:利用光子带隙效应实现灵活滤波,但制造工艺复杂。
2、按调谐能力分类
①固定波长滤波器:如标准FBG,波长在制造时确定,适用于静态系统。
②可调谐滤波器:
机械调谐:通过PZT或微电机改变腔长或光栅周期。
热调谐:利用电加热改变光纤折射率,调谐速度较慢但成本低。
声光调谐:通过声波诱导折射率变化,调谐速度达μs级,但插入损耗较高。
六、光纤滤波器的核心作用:光网络的“交通警察”
光纤滤波器在光通信系统中扮演着多重角色:
1、波长路由:在ROADM(可重构光分插复用器)中,动态分配光信号至不同路径。
2、信号净化:滤除光放大器产生的噪声,提升系统传输距离。
3、资源复用:通过波长复用技术,将单根光纤的传输容量提升100倍以上。
4、系统保护:在故障发生时,快速切换至备用波长,保障业务连续性。
七、光纤滤波器与光纤连接器的区别:功能与结构的本质差异
尽管光纤滤波器和连接器均属于无源光器件,但二者在功能、结构和应用场景上存在显著差异:
| 特性 | 光纤滤波器 | 光纤连接器 |
| 核心功能 | 选择性传输/抑制特定波长 | 实现光纤的机械对接与光耦合 |
| 工作原理 | 干涉/衍射效应 | 物理接触或透镜聚焦 |
| 典型参数 | 中心波长、带宽、插入损耗 | 回波损耗、插入损耗、重复性 |
| 应用场景 | DWDM、传感、激光器 | 光纤跳线、设备互联、光模块封装 |
| 结构示例 | FBG、F-P腔、LPG | FC/APC、SC、LC连接器 |
八、未来趋势:智能化与集成化的新征程
随着5G-A和6G网络的部署,光纤滤波器正朝着以下方向发展:
1、超窄带滤波:通过微纳光子学技术,实现<0.1nm线宽的滤波,满足相干通信需求。
2、智能调谐:集成MEMS或液晶调谐元件,实现波长、带宽的动态编程控制。
3、芯片级集成:与硅光子技术融合,开发片上光纤滤波器,降低系统成本。
4、多功能化:将滤波、调制、探测等功能集成于单一器件,提升系统紧凑性。
结语
从骨干网到数据中心,从工业传感到生物医疗,光纤滤波器以其独特的光学特性,持续推动着光通信技术的革新。随着材料科学与微纳电子学的进步,这一“隐形冠军”必将迎来更广阔的应用前景,为构建全光网络和智能社会奠定坚实基础。