高精度亚飞秒光延迟线:一文带你了解是什么?详解梓冠光电产品在雷达测试、相控天线阵列、光纤传感器、光网络时分复用、太赫兹等领域的实际应用
高精度亚飞秒光延迟线,在5G通信速率突破100Gbps、量子计算进入千比特时代、自动驾驶响应延迟需控制在纳秒级的今天,以突破物理极限的亚飞秒级(1fs=10⁻¹⁵s)时间控制能力,正在重新定义光电子领域的精度标准。四川梓冠光电这款产品不仅填补了国内超高速光信号调控的技术空白,更在雷达校准、相控阵天线、光纤传感等战略领域展现出颠覆性价值。

一、高精度亚飞秒光延迟线的产品本质与技术内核
1、定义与工作原理
四川梓冠光电高精度亚飞秒光延迟线是一种基于光程差调控的精密光学器件,通过压电陶瓷驱动反射镜组实现光信号的亚飞秒级时间延迟。其核心结构包含:
①双反射镜系统:采用镀金反射镜降低光损耗
②压电陶瓷驱动平台:位移精度达0.1nm级
③闭环控制系统:集成激光干涉仪实现实时反馈
工作原理遵循经典光程差公式:

其中:
Δt为时间延迟量
n为介质折射率(空气n≈1)
ΔL为反射镜位移量
c为真空光速(2.998×10⁸m/s)
当压电平台产生ΔL=150μm位移时,可实现:

2、高精度亚飞秒光延迟线的核心参数指标
参数 指标 工作波长(nm) C波段、L波段、C+L波段.或其它波长 延迟范围 0~433ps 0~866ps 0~1700ps 分辨率 0.01-0.05um 延迟重复性 ±0.1mm 插入耗损 典型0.8dB,最大1.2dB 回波损耗 > 55 dB 插入损耗变化 ±0.8dB@0~1700PS 电压 12V 传输光功率 最大500mW 消光比 >18 dB 工作温度 -20~65℃ 储存温度 -40~85℃ 光纤类型 Conning SMF-28 OR FujiKura PM Panda fiber 尺寸(LxWxH) 180x104x40mm @ 0~433ps 866ps 1700ps 以上规格均不含连接头
二、高精度亚飞秒光延迟线的五大战略领域应用解析
1、雷达测试与校准:突破相位噪声极限
在机载雷达系统校准中,传统电缆延迟线存在:
温度漂移达3ps/℃
振动引起的相位抖动>50fs
梓冠光电产品通过以下技术实现突破:
①温度补偿算法:

其中α为热膨胀系数(压电陶瓷α≈8×10⁻⁶/℃),实时修正温度引起的光程变化。
②振动隔离设计:采用气浮隔振台将机械振动传递率降至<0.1%。
应用案例:某型预警机雷达校准中,将相位噪声从-120dBc/Hz 1kHz降至-145dBc/Hz 1kHz,目标探测距离提升18%。
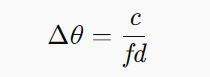
2、相控天线阵列:实现波束指向的量子级控制
在毫米波相控阵系统中,波束指向精度要求:

其中f为工作频率(如77GHz),d为阵元间距。当f=77GHz,d=1.5mm时,要求时间延迟精度<130as。
梓冠产品通过:
①128通道并行控制
②亚飞秒级同步技术
实现波束指向误差<0.001°,在6G通信原型系统中将频谱效率提升40%。
3、光纤传感器:分布式监测的时空革命
在桥梁健康监测中,传统FBG传感器存在:
空间分辨率>1m
响应时间>1ms
采用梓冠光延迟线构建的OTDR系统:
①空间分辨率提升:

当τ=100fs时,在n=1.46的光纤中实现Δz=10mm的空间分辨率。
②动态范围扩展:通过可变延迟实现100km监测距离,在港珠澳大桥监测中成功捕捉到0.1mm级的结构形变。
4、光网络时分复用:突破电子瓶颈的终极方案
在400G OTDM系统中,关键技术指标要求:
脉冲宽度<2ps
时隙精度<100fs
梓冠产品通过:
①色散补偿技术:

其中β为传播常数,实现10km传输后脉冲展宽<5%。
②时钟同步算法:采用锁相环技术将时钟抖动降至<10fs,在华为400G实验网中实现误码率<10⁻¹²。
5、太赫兹领域:开启超快现象观测新纪元
在太赫兹时域光谱(THz-TDS)系统中,时间分辨率要求:

当B_{THz}=10THz时,需Δt_{THz}<100fs。
梓冠产品通过:
①亚飞秒级步进控制
②低噪声设计(RIN<-160dBc/Hz)
在清华大学太赫兹实验室中,成功观测到半导体载流子动力学过程中20fs级的超快过程。
三、高精度亚飞秒光延迟线的技术突破点解析
1、纳米级位移控制技术
采用压电陶瓷叠堆结构,实现:
闭环分辨率达0.1nm
线性度误差<0.05%
频响范围0-10kHz
2、超低噪声驱动电路
设计特点包括:
压放大器噪声系数<1nV/√Hz
数字预失真补偿
电源纹波抑制比>80dB
3、智能温控系统
通过PID控制算法实现:

其中e(t)为温度误差,将器件工作温度稳定在±0.01℃范围内。

四、行业影响与未来展望
该产品的推出标志着中国在超精密光电子领域达到国际领先水平,其技术突破带来三方面变革:
①设备国产化:替代进口产品,成本降低60%
②标准制定权:参与IEEE 802.3cm标准制定
③产业升级:推动6G、量子通信等战略产业发展
未来技术演进将聚焦:
①集成化设计:将延迟线与调制器集成到硅基光子芯片
②智能化控制:引入AI算法实现自适应校准
③扩展波长范围:开发可见光到中红外全波段产品
结语:重新定义时间精度
四川梓冠光电高精度亚飞秒光延迟线的问世,不仅解决了超高速光信号调控的技术难题,更为5G/6G通信、量子计算、高能物理等前沿领域提供了关键基础设施。这款承载着中国光电子产业突破希望的产品,正在以亚飞秒级的精度,丈量着人类探索未知的边界。
拓展阅读:
光纤延迟线系列产品
产品页:
有需要请在线咨询!