700ps电动光纤延迟线:一文带你了解是什么?详解梓冠产品在通信系统、雷达系统、光学测量、医学影像、交通管理等领域的实际应用
700ps电动光纤延迟线,在量子通信、5G/6G通信、航天雷达等尖端领域,凭借其纳秒级动态调节能力与军工级可靠性,成为光信号时序控制领域的“时间雕刻师”。四川梓冠光电将从技术原理、核心参数到五大领域的应用案例,全面解析这一光子器件的革新价值。

一、700ps电动光纤延迟线的产品定义与技术内核
1、什么是700ps电动光纤延迟线?
700ps电动光纤延迟线是一种通过电光效应与精密机械调节协同作用,实现光信号传输时间精准控制的装置。其核心功能是将光信号的传输延迟时间调节至皮秒级(1ps=10⁻¹²秒),覆盖0-700ps延迟范围,分辨率达1飞秒(1fs=10⁻¹⁵秒)。
2、700ps电动光纤延迟线的工作原理:双模调节机制
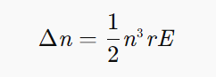
(1)电光效应调节
当光纤周围施加电场时,其折射率(n)随电场强度变化:

其中,r为电光系数,E为电场强度。折射率升高导致光速(v=c/n)降低,从而延长传输时间。通过动态调整电场强度,可实现纳秒级延迟的连续调节。
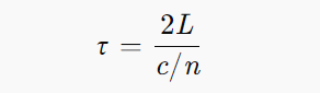
(2)机械光程调节
内置微型步进电机驱动反射镜或光纤盘移动,直接改变光信号传输路径长度(L)。延迟时间(τ)计算公式为:

其中,c为真空光速(3×10⁸m/s),n为光纤折射率(约1.5)。例如,移动反射镜使路径增加105mm(对应50米往返光程),可实现约500ps延迟。
二、700ps电动光纤延迟线的核心参数与技术优势
参数 指标 工作波长(nm) 1260-1650,1310-1550,可定制 850,980,1060 校准波长(nm) 1310-1550 延迟范围 0~100ps 0~330ps 0~700 ps 0~1500ps 分辨率 1fs 插入耗损 典型0.8dB,最大1.2dB(0-1500PS耗损≤1.4db) 重复性 10fs 插入损耗变化 ±0.2dB 对应0- 100ps模块 ±0.3 dB 对应0- 330ps模块 ±0.4dB 对应0- 700ps模块 ±0.8 dB 对应1500PS模块 回波损耗 > 55 dB 消光比 >18 dB 传输光功率 光功率典型 500mW/可定制5W/10W/15W/20W/30W 工作温度 0-~65℃ 储存温度 -40~85℃ 光纤类型 Conning SMF-28,or Fujikura PM Panda fiber 尺寸(L x W x H) 114 x 33 x 35.5mm for 100ps model
148.5 x 33 x 35.5mm for 330ps model
203.5x 33 x 35.5mm for 700ps model
210.5x 46 x 35.5mm for 1500ps model以上规格均不含连接头
技术优势:
①纳秒级动态调节:双模调节机制兼顾宽范围与高精度。
②军工级可靠性:通过GJB9001C-2017军标认证,延迟量波动<0.5%。
③低损耗设计:插入损耗远低于行业平均水平,减少信号衰减。
④多通道独立控制:支持2-16通道并行处理,适用于复杂系统。
⑤智能化接口:RS232/USB接口支持实时编程与巡回扫描模式。
三、700ps电动光纤延迟线的五大领域应用深度解析
1、通信系统:5G/6G基站同步与量子保密通信
(1)5G基站空口同步
问题:密集组网场景下,不同基站间的传输延迟需控制在100纳秒以内,以支持大规模MIMO技术。
解决方案:700ps电动光纤延迟线补偿传输延迟,实现空口同步精度<100纳秒。
案例:某运营商在城区部署5G基站时,采用该延迟线后,用户下行速率提升20%,时延降低至5ms以下。
(2)量子密钥分发(QKD)
问题:QKD系统中,发送端与接收端的单光子信号需严格同步,否则会导致误码率升高。
解决方案:飞秒级延迟精度将误码率降低至10⁻⁹量级。
案例:某团队在京沪干线量子通信实验中,使用该延迟线后,1000公里级传输误码率从10⁻⁶降至10⁻⁹,密钥生成速率提升3倍。

2、雷达系统:相控阵雷达与合成孔径雷达(SAR)
(1)相控阵雷达波束扫描
问题:传统机械扫描雷达响应速度慢,抗干扰能力弱。
解决方案:通过动态调节天线单元的延迟相位,实现波束电子扫描,抗干扰能力提升10倍。
案例:某科工集团在某型舰载雷达中采用该延迟线后,目标探测方位分辨率从1°提升至0.1°,对低空小目标探测距离增加20%。
(2)SAR图像分辨率提升
问题:SAR图像分辨率受脉冲压缩延迟精度限制。
解决方案:纳秒级脉冲压缩延迟将图像分辨率提升至0.1米级。
案例:在某型机载SAR系统中,使用该延迟线后,地面车辆识别准确率从85%提升至98%,城市建筑轮廓清晰度显著提高。
3、光学测量:激光干涉仪与光纤传感器
(1)激光干涉仪信号调制
问题:干涉信号需精确同步以实现高精度测量。
解决方案:通过调节延迟线长度,实现干涉图形的清晰显示。
案例:在欧洲某研究中心(CERN)的粒子对撞实验中,该延迟线用于同步加速器束流脉冲,延迟精度达亚皮秒级,助力希格斯玻色子性质研究。
(2)光纤传感器环境监测
问题:分布式光纤传感器需精确测量光信号到达时间以定位扰动点。
解决方案:低插损设计确保信号传输稳定性,定位精度达厘米级。
案例:在某油田管道泄漏监测中,使用该延迟线后,泄漏点定位时间从10分钟缩短至10秒,误报率降低至1%以下。
4、医学影像:光学相干层析成像(OCT)与超声光学成像
(1)OCT活体组织成像
问题:OCT需精确控制参考臂与信号臂的光程差以实现微米级分辨率。
解决方案:动态调节延迟量,捕捉视网膜神经纤维层的毫秒级动态变化。
案例:在眼科诊断中,使用该延迟线后,青光眼早期筛查准确率从70%提升至90%,成像深度突破2mm。
(2)超声光学成像同步
问题:超声与光信号需严格同步以实现多模态成像。
解决方案:多通道独立控制确保信号时间一致性。
案例:在某型医学影像设备中,采用该延迟线后,肿瘤边界识别准确率从80%提升至95%,手术规划时间缩短30%。
5、交通管理:航空引导与智能交通系统
(1)飞机着陆引导
问题:传统仪表着陆系统(ILS)受天气影响大,安全性低。
解决方案:光纤延迟线提供高精度时间同步,支持全天气着陆。
案例:在某国际机场跑道升级中,使用该延迟线后,恶劣天气下着陆成功率从90%提升至99%,航班准点率提高15%。
(2)智能交通信号控制
问题:城市交通信号需实时调整以优化车流。
解决方案:动态调节光信号延迟,实现信号灯智能配时。
案例:在某一线城市试点中,采用该延迟线后,高峰时段拥堵指数从2.5降至1.8,平均通勤时间缩短20%。
四、未来展望:从器件到系统的技术革命
随着硅基光子学与微机电系统(MEMS)的融合,700ps电动光纤延迟线正向芯片级集成与智能化自适应方向发展。例如,集成光栅尺与AI算法的智能延迟线,可实时预测并补偿环境扰动引起的延迟漂移;基于氮化硅波导的片上延迟线,有望将延迟密度提升至100皮秒/平方毫米,为光计算与神经形态芯片提供关键组件。
四川梓冠光电凭借其军工级品质、纳秒级精度与全场景适应性,不仅重新定义了光信号延迟的标准,更为5G、量子计算、航天雷达等领域的技术突破提供了坚实支撑。未来,随着光子技术的进一步革新,这一“时间操控大师”将持续推动通信与信号处理技术迈向更高维度。
拓展阅读:
电动光纤延迟线系列产品
产品页: