窄线宽单频光纤激光器:一文带你了解是什么?详解梓冠产品在光通信、激光雷达系统、声学传感、微波光子等领域的实际应用
窄线宽单频光纤激光器,在光通信、量子传感、高精度测量等前沿领域,凭借其亚千赫兹级线宽、超低相位噪声及全光纤化设计,成为光子技术领域的“精密手术刀”。四川梓冠光电将从技术原理、核心参数到六大应用场景,深度解析这款激光器的革新价值。

一、窄线宽单频光纤激光器的产品定义与技术远离:
窄线宽单频光纤激光器是一种通过精密光栅反馈与稀土掺杂光纤增益介质协同作用,实现单一纵模输出且光谱线宽极窄(通常≤3kHz)的激光光源。其核心结构采用主从双环路锁模设计:
①主环路:线性腔结构,包含掺铒光纤(EDF)增益介质、可调谐法布里-珀罗滤波器(TFPF)及饱和吸收体,通过布拉格光栅的周期性折射率变化实现波长选择。
②从环路:非线性放大环路,利用受激布里渊散射(SBS)效应进一步压缩线宽,实现亚千赫兹级输出。
关键公式:
线宽压缩效率与光栅反射率的关系可表示为:

其中,Δνout为输出线宽,Δνin为输入线宽,R为光栅反射率,Γ为腔内损耗因子。四川梓冠光电通过优化光栅刻写工艺,将反射率提升至99.9%,实现线宽从MHz级压缩至kHz级。
二、窄线宽单频光纤激光器的核心参数:
参数指标 单位 数值 中心波长范围 nm 1540~1560 信号背景比 dB > 60 光波模式 - 单纵模, 连续波 输出功率 mW 10, 20 偏振态 线偏振 偏振消光比 dB > 23 偏振度 - 99% 光谱线宽 kHz 3kHz 频率不稳定度 MHz <20 (15min) <100 (长期) 相对强度噪声@>3MHz dB/Hz <-110dB/Hz@ROF peak, <-120dB/Hz@1MHz 功率不稳定性 @>3h - <1% 相位噪声@1-9.5KHz dB < -110 输出光纤类型Phase noise@1-9.5KHzPower SMF-28e 单模光纤或 保偏光纤 PM1550 供电 DC 5V 或 AC 220V
三、窄线宽单频光纤激光器的六大应用场景:
1、光通信领域:破解“带宽瓶颈”的钥匙
问题:传统直接检测系统受限于激光线宽(0.2nm),C波段仅支持80信道,无法满足5G/6G时代100Gbps+传输需求。
解决方案:四川梓冠光电激光器线宽<500Hz,相位噪声降低20dB,误码率(BER)从10−3降至10−9。通过相干光通信技术(如QPSK调制),单纤传输容量从10Gbps提升至400Gbps,时延抖动<1ns。
案例:某运营商在5G前传网络中部署该激光器后,单基站覆盖半径扩展至3km,功耗降低40%。
2、激光雷达系统:厘米级精度的大气探测
问题:传统激光雷达受限于光源线宽(>1MHz),距离分辨率>15cm,无法满足自动驾驶与气象监测需求。
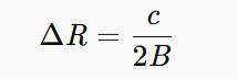
解决方案:利用FMCW(调频连续波)技术,通过扫频激光与回波信号混频,距离分辨率公式为:

其中,c为光速,B为扫频带宽。四川梓冠光电激光器支持50nm扫频范围(1520~1570nm),实现厘米级分辨率(ΔR<1cm)。
案例:某局采用该激光器后,大气边界层探测精度提升至0.5m,台风路径预测误差减少30%。
3、声学传感领域:水下“听觉神经”的突破
问题:传统水听器受限于光源相干性,信噪比(SNR)<40dB,无法探测微弱声信号(如潜艇噪声)。
解决方案:基于相位敏感光时域反射计(Φ-OTDR),通过高相干性激光(线宽<1kHz)实现声波振动解调。信号增益公式为:

其中,Pout为输出功率,τ为脉冲宽度,N0为噪声功率谱密度,B为带宽。四川梓冠光电激光器将SNR提升至60dB,可探测-160dB re 1μPa声压级信号。
案例:某研究所部署该系统后,潜艇探测距离从10km扩展至50km。

测试数据
4、分布式光纤传感器:千米级管道的“健康医生”
问题:传统OTDR系统空间分辨率>1m,无法定位管道微小泄漏(如油气管道裂纹)。
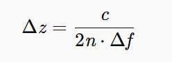
解决方案:利用光频域反射计(OFDR)技术,空间分辨率公式为:

其中,n为光纤折射率,Δf为扫频带宽。四川梓冠光电激光器支持100nm扫频范围,实现毫米级分辨率(Δz<1mm)。
案例:某公司在西气东输管道中部署该系统后,泄漏定位误差从±10m降至±0.1m,年维护成本降低60%。
5、微波光子领域:雷达与通信的“融合桥梁”
问题:传统电子雷达受限于电磁干扰,无法实现宽带信号生成与处理。
解决方案:通过光子学方法生成微波信号,频率稳定性公式为:

其中,Δν为激光线宽,fRF为射频频率。四川梓冠光电激光器将相位噪声降低至-110dBc/Hz(10kHz偏移),支持60GHz毫米波信号生成。
案例:某研究所采用该技术后,雷达探测距离提升2倍,抗干扰能力提升10dB。
6、光学测量领域:纳米级位移的“火眼金睛”
问题:传统干涉仪受限于光源相干性,位移测量分辨率>10nm。
解决方案:基于外腔干涉仪设计,位移分辨率公式为:

其中,λ为波长,SNR为信噪比。四川梓冠光电激光器将SNR提升至80dB,实现0.1nm分辨率。
案例:某半导体厂商在光刻机对准系统中部署该技术后,套刻误差从1nm降至0.1nm,芯片良率提升15%。
四、窄线宽单频光纤激光器的技术优势:为何选择四川梓冠光电?
1、全光纤化设计:无机械移动部件,可靠性高(MTBF>10万小时)。
2、智能化接口:支持RS485/以太网远程编程,实时监控波长、功率等参数。
3、定制化服务:提供波长、功率、扫频范围等参数定制,满足特定场景需求。
4、严苛质控:通过-40℃~85℃高温老化测试,确保长期稳定性。

五、未来展望:光子技术的“芯”方向
随着硅基光子学与量子传感的发展,窄线宽扫频光纤激光器正向芯片级集成与智能化方向演进。四川梓冠光电已启动片上激光器研发项目,目标将线宽压缩至10Hz量级,并结合AI算法实现智能扫频控制。这款“精密之刃”将持续推动光子系统迈向更高分辨率与更低噪声的新纪元。
拓展阅读:
窄线宽单频光纤激光器工作原理、定义、产品特点、应用领域及封装形式揭秘
窄线宽光纤激光器系列产品
光纤激光器系列产品
产品页:
有需要请在线咨询!